In addition to supporting external development programs, Macrocyclics conducts internal and collaborative R&D focused on the discovery of novel chelators for emerging radioisotopes, metabolically responsive MRI contrast agents, and molecular systems with potential applications in isotope and rare earth element extraction and separation technologies.
Ideal Characteristics for a Collaboration
Macrocyclics’ core strengths include synthetic organic chemistry, sub-pilot scale manufacturing, analytical characterization of small molecules, and GMP production of drug substances for clinical investigation. We seek collaborators with complementary expertise in functional testing—such as radiolabeling, metal–ligand stability assessment, toxicity evaluation, and animal biodistribution studies—as well as other applied research activities.
While Macrocyclics values opportunities to publish collaborative research, the ultimate objective of such partnerships is the translation and commercialization of new technologies. Macrocyclics remains an active participant in all collaborations, contributing primarily through the conceptualization of ideas, synthesis of target compounds, and the design and critical review of experimental work.
Our Current CollaborationsResearchProjects
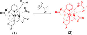
Macrocyclics, in collaboration with the University of Tübingen, is developing new tools for noninvasive metabolic imaging. Lactate is a key metabolic driver in oncology and immunology, and its accumulation in the tumor microenvironment reflects the altered glycolysis typical of many cancers. Together, the teams are pursuing a unique group of macrocyclic, lanthanide-based shift reagents (SRs) derived from the PCTA ligand to enable the precise detection of extracellular lactate using chemical exchange saturation transfer (CEST) MRI. These PCTA-based agents offer exceptional thermodynamic stability, kinetic inertness, and safety, positioning them as promising candidates for future translational imaging applications.
Preclinical work has shown that Yb-PCTA and Eu-PCTA complexes selectively interact with lactate, producing distinct MRI shifts that allow clear visualization of extracellular lactate within tumors. The studies demonstrate both sensitivity and in vivo safety, highlighting the potential of these agents for cancer metabolic profiling and staging
Read the open access publication in JACS
In collaboration with researchers at UTSW, UT Dallas, and the University of Tübingen, Macrocyclics is advancing pH-responsive MRI contrast agents designed to probe tissue microenvironments with higher sensitivity. This work focuses on GdDOTA-1AmP, a monoamide complex engineered to enhance r₁ relaxivity through precise ordering of second-sphere water molecules. Unlike multi-phosphonate analogues, GdDOTA-1AmP exhibits a smooth, pH-dependent relaxivity increase driven by deprotonation of a single appended phosphonate group.
In-vivo evaluation has shown that the complex maintains excellent biodistribution and rapid renal clearance, avoiding the bone accumulation typical of highly charged phosphonate agents. Although pH responsiveness diminishes at ultrahigh magnetic fields, the molecular design provides valuable mechanistic insight for creating future MRI agents that sense subtle acid–base changes in the body. These findings establish GdDOTA-1AmP as an important prototype for continued development in the field of responsive MRI contrast technologies.

